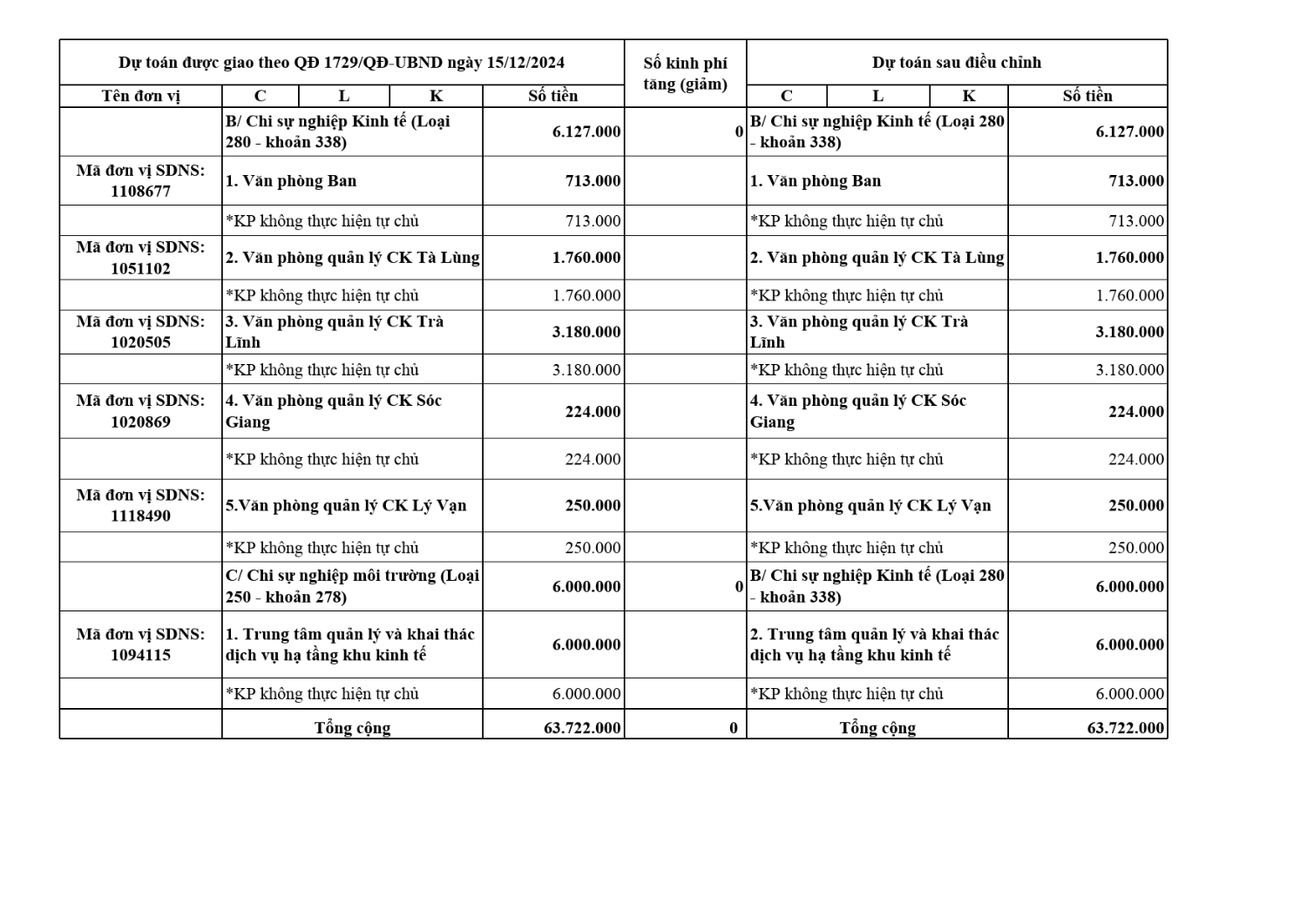
QUYẾT ĐỊNH Về việc công khai điều chỉnh dự toán chi ngân sách năm 2025

Thứ tư - 12/11/2025 01:57
12121 3121 1 3
Chú ý: Việc đăng lại bài viết trên ở website hoặc các phương tiện truyền thông khác mà không ghi rõ nguồn http://banqlkkt.caobang.gov.vn là vi phạm bản quyền

Tổng số điểm của bài viết là: 0 trong 0 đánh giá

Click để đánh giá bài viết

  Ý kiến bạn đọc

Những tin mới hơn

Những tin cũ hơn

Văn bản mới

01/2026/NQ-HĐND

Nghị Quyết Quy định mức thu, chế độ thu, nộp, quản lý và sử dụng Phí sử dụng công trình kết cấu hạ tầng, công trình dịch vụ, tiện ích công cộng trong khu vực cửa khẩu trên địa bàn tỉnh Cao Bằng

Lượt xem:131 | lượt tải:54

1787/QĐ-UBND

Quyết Định Công bố danh mục thủ tục hành chính sửa đổi, bổ sung, bãi bỏ trong lĩnh vực đầu tư theo phương thức đối tác công tư; đấu thầu lựa chọn nhà đầu tư thuộc thẩm quyền giải quyết của Sở Tài chính, Ban Quản lý Khu kinh tế tỉnh, UBND cấp xã tỉnh CB

Lượt xem:193 | lượt tải:241

182/QĐ-BQLKKT

Quyết Định Công khai điều chỉnh, bổ sung Kế hoạch vốn đầu tư công năm 2025

Lượt xem:354 | lượt tải:283

1174/QĐ-UBND

QUYẾT ĐỊNH Về việc công bố danh mục thủ tục HC được sửa đổi,bổ sung và phê duyệt quy trình nội bộ giải quyết TTHC trong lĩnh vực hoạt động xây dựng theo quy định phân quyền,phân cấp,phân định thẩm quyền thuộc phạm vi giải quyết của Ban QLKKT

Lượt xem:323 | lượt tải:408

346/QĐ-UBND

QUYẾT ĐỊNH Về việc phê duyệt quy trình nội bộ giải quyết thủ tục hành chính trong lĩnh vực khu công nghiệp, khu kinh tế thuộc thẩm quyền giải quyết của Ban Quản lý Khu kinh tế tỉnh Cao Bằng

Lượt xem:418 | lượt tải:252

55/QĐ-BQLKKT

QUYẾT ĐỊNH Công khai điều chỉnh, bổ sung Kế hoạch vốn đầu tư công năm 2025

Lượt xem:658 | lượt tải:350

294/QĐ-UBND

QUYẾT ĐỊNH Về việc phê duyệt quy trình nội bộ giải quyết thủ tục hành chính trong lĩnh vực đầu tư tại Việt Nam thuộc thẩm quyền giải quyết của Ban Quản lý Khu kinh tế tỉnh Cao Bằng

Lượt xem:562 | lượt tải:177

292/QĐ-UBND

Quyết định về việc công bố danh mục thủ tục hành chính mới ban hành trong lĩnh vực khu công nghiệp, khu kinh tế thuộc thẩm quyền giải quyết của Ban Quản lý Khu kinh tế tỉnh Cao Bằng

Lượt xem:374 | lượt tải:304

314/QĐ-BQLKKT

QUYẾT ĐỊNH Về việc công bố công khai thu hồi dự toán chi ngân sách năm 2024

Lượt xem:391 | lượt tải:287

225/QĐ-BQLKKT

QUYẾT ĐỊNH Về việc công bố công khai giao dự toán chi ngân sách năm 2024

Lượt xem:492 | lượt tải:580












tthc 1
pakntthc2
dccs 040231
banner quan ly thong tin du an dau tu trong khu kinh te 3




 
iso 9001 2015
 

 

THỐNG KÊ TRUY CẬP
  • Đang truy cập35
  • Hôm nay9,088
  • Tháng hiện tại1,068,807
  • Tổng lượt truy cập19,844,741
quoc huy
  
TRANG THÔNG TIN BAN QUẢN LÝ KHU KINH TẾ TỈNH CAO BẰNG
Địa chỉ:  109 Đường Hoàng Văn Thụ,  Phường Thục Phán, tỉnh Cao Bằng
NGƯỜI CHỊU TRÁCH NHIỆM CHÍNH: ÔNG NGUYỄN KIÊN CƯỜNG - TRƯỞNG BAN 
Số điện thoại liên hệ: 02063.854.529 - Fax: 02063.854.929  Email: banqlkkt@caobang.gov.vn - banquanlycb@gmail.com  
Ghi rõ nguồn Trang thông tin điện tử  Ban Quản lý khu kinh tế (hoặc www.banqlkkt.caobang.gov.vn) khi trích dẫn thông tin từ địa chỉ này.
Bạn đã không sử dụng Site, Bấm vào đây để duy trì trạng thái đăng nhập. Thời gian chờ: 60 giây